Trong những năm gần đây, trên thị trường xuất hiện ngày càng nhiều sản phẩm kim thu sét ESE được giới thiệu đáp ứng tiêu chuẩn quốc tế và bán kính bảo vệ (Rp) rất lớn, từ 120 đến 180 mét, thậm chí còn cao hơn.
Những thông tin này nghe rất hấp dẫn đối với nhà đầu tư và nhà thầu vì có thể giảm số lượng, giảm chi phí và tạo lợi thế cạnh tranh khi đấu thầu.
Tuy nhiên, khi đối chiếu với tiêu chuẩn quốc tế NF C 17-102:2011, cũng như với các chứng nhận thử nghiệm từ các phòng thí nghiệm uy tín quốc tế, các bán kính bảo vệ của kim thu sét “quá lớn” này có vẻ không có cơ sở kỹ thuật, thậm chí không phù hợp tiêu chuẩn.
Vậy làm sao để xác định đúng bán kính và vùng bảo vệ theo tiêu chuẩn ?
Bài viết dưới đây TAEC sẽ nêu một số vấn đề liên quan đến tiêu chuẩn quy định để chủ đầu tư, đơn vị thiết kế và người tiêu dùng tham khảo, nhận diện đúng bản chất các tham số liên quan đến bán kính bảo vệ của kim thu sét phát xạ sớm (viết tắt là ESEAT - Early Streamer Emission Air Terminal) nhằm tránh rủi ro có thể xảy ra trong quá trình thiết kế, lắp đặt và sử dụng.
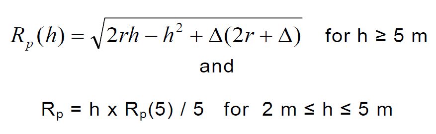
NF C 17-102:2011 của Pháp (hay UNE 21.186:2011 Spain) là các tiêu chuẩn dành riêng cho hệ thống bảo vệ bên ngoài bằng kim thu sét phát tiên đạo sớm , là tài liệu kỹ thuật nền tảng, quy định chi tiết về thử nghiệm, thiết kế, lắp đặt và bảo trì bảo dưỡng. Trong đó cũng mô tả cơ chế hoạt động, phương pháp thử để xác định thời gian phát xạ sớm ΔT và công thức tính Rp theo cấp bảo vệ và độ cao lắp đặt.

Bán kính bảo vệ của một ESEAT phụ thuộc vào: Chiều cao (h) của kim so với bề mặt cần được bảo vệ, hiệu quả ΔT, và cấp độ bảo vệ chống sét đã lựa chọn.
Tiêu chuẩn NF C 17-102:2011 quy định rõ cách xác định Rp của ESEAT.

Trong đó:
Đây là công thức duy nhất được quy định trong tiêu chuẩn.
Xem thêm: Cấp bảo vệ chống sét trong phương pháp quả cầu lăn
Theo tiêu chuẩn, h là độ cao của ESEAT so với mặt phẳng cần bảo vệ, không phải độ cao của toà nhà hay cột đỡ (xem hình H1).

H1 - Các bán kính bảo vệ Rp của ESEAT trong tiêu chuẩn NFC
Theo công thức, h càng lớn thì Rp càng lớn, tuy nhiên do đặc tính của đường parabol, Rp không tăng tuyến tính mà có giới hạn, h từ 60 mét trở lên hầu như Rp không tăng nữa.
Trong tài liệu công bố sản phẩm, nếu nhà sản xuất Không ghi rõ điều kiện h, người dùng dễ hiểu sai và dẫn đến tính Rp cao hơn thực tế, vùng bảo vệ ảo vượt quá khả năng của ESEAT.
Do đó, khi tính Rp cần xác định đúng mặt phẳng bảo vệ với chiều cao hiệu dụng, chứ không được cộng gộp chiều cao công trình để xác định vùng bảo vệ.
Ví dụ: lắp một ESEAT trên cột 5 mét đặt ở mái nhà, bên cạnh có mái che thang cao 2m, nhà cao 15m thì chiều cao hiệu dụng h là 5-2= 3 mét, chứ không phải là 5 hoặc 20m (5m cột + 15m nhà). Do đó, nếu dùng Rp tương ứng với h 5m hoặc 20m sẽ dẫn đến sai lệch nghiêm trọng về vùng bảo vệ.
Tiêu chuẩn cũng quy định độ cao chuẩn từ 5 hoặc 6 mét để công bố bán kính bảo vệ của sản phẩm, vì ở mức chuẩn đó sẽ dễ dàng so sánh Rp giữa các sản phẩm với nhau, và đó cũng là chiều dài phổ biến của cột thường được sử dụng trong thực tế.
Điển hình như một số dòng kim thương hiệu uy tín:

H2 - Bán kính bảo vệ Rp của Kim Prevectron (Indelec-France) được công bố ở độ cao chuẩn
Trong thực tế, một số nhà sản xuất hay thương mại đã vận dụng “linh hoạt” công thức tính để công bố Rp khác với mức chuẩn, họ đã dùng giá trị Rp tính toán ở cao độ lớn hơn (20, 40 hoặc 60m) để công bố trên tài liệu sản phẩm. Khi đó, Rp sẽ lớn hơn rất nhiều so với mức chuẩn.
Điển hình như một dòng kim từ Tây ban nha đang bán ở thị trường Việt nam, bán kính bảo vệ được công bố là ở độ cao 20 mét

H4 - Bán kính bảo vệ Rp của một dòng kim từ Spain được công bố ở độ cao 20 mét
Đây là “nghệ thuật” trong kinh doanh và tiếp thị, đơn vị thiết kế và người sử dụng cần lưu ý vận dụng đúng theo tiêu chuẩn để tránh thiệt thòi và rủi ro sau này.
Với ESEAT, ΔT (Early Streamer Emission Time) là thời gian chúng tạo ra tiên đạo sớm hơn đối tượng tham chiếu SR trong phòng thí nghiệm (LAB). Đây là tham số quan trọng nhất tác động đến bán kính bảo vệ Rp theo công thức của NF C 17-102.
Tiêu chuẩn NF C 17-102:2011 quy định ΔT hợp chuẩn được xác định theo quy trình:
Qua quá trình thử nghiệm, các cơ quan này sẽ ban hành báo cáo kết quả kiểm tra (Test Report / Certificate.. ), trong đó có thể được ghi rõ các giá trị ΔTd, ΔTc, sai số đo và ΔT. Tuy nhiên, một số giấy chứng nhận có thể chỉ ghi giá trị đo ΔTd mà thôi.
Ví dụ sau được trích từ Test Report của dòng DAT CONTROLER từ Tây Ban Nha

H5 – Chứng nhận các thời gian phát xạ sớm
Như vậy, một sản phẩm ESEAT nào đó công bố đáp ứng tiêu chuẩn NF C 17-102 của France (hoặc UNE 21186 của Spain) thì phải:
Trong thực tế 30 năm ứng dụng tiêu chuẩn, theo chúng tôi được biết thì không có bất kỳ chứng nhận ΔT hợp chuẩn nào vượt quá xa 60µs.
Lý do nằm ở giới hạn vật lý của khí quyển (sự phóng điện), khả năng đo của phòng thí nghiệm, để đảm bảo an toàn và thống nhất chung.
Phần lớn các sản phẩm trên thị trường từ các nhà sản xuất uy tín và lâu đời đều công bố các giấy chứng nhận định kỳ về thời gian phát xạ sớm theo chuẩn quốc tế, đồng thời công bố trên tài liệu sản phẩm được phát hành ra thị trường.
Chẳng hạn như ESE Dat Controler Plus: Công bố Delta T mức chuẩn và bán kính ở độ cao chuẩn cũng được thể hiện rõ trên catalog sản phẩm

H6 - Công bố của nhà sản xuất AT trên Catalog kim DC plus
Việc công bố một cách rõ ràng như vậy không chỉ đáp ứng chuẩn quốc tế mà còn giúp cho người dùng hiểu đúng bản chất của sản phẩm một cách rõ ràng, tránh nhầm lẫn.
Hiện nay cũng có nhiều nhà sản xuất công bố thời gian phát xạ sớm ΔT trên tài liệu catalog không rõ ràng, không xác định đó là thời gian gì (giá trị đo hay giá trị chuẩn), đã được chứng nhận hay chưa hay là giá trị tự công bố. Việc lấy giá trị chưa được chứng thực sẽ tạo ra bán kính bảo vệ Rp không đáp ứng tiêu chuẩn. Thậm chí Rp sẽ có giá trị rất lớn.
Ví dụ, một số dòng kim ESE từ Thổ nhĩ kỳ đang được sử dụng rộng rãi trên thị trường Việt Nam có Delta T và Rp khá lớn.

H7 - Bán kính bảo vệ theo thời gian phát xạ sớm được công bố
Với giá trị ΔT = 136µs được công bố, nhà sản xuất dựa vào công thức sẽ tính ra được Rp = 188 mét /Level 4.
Liệu giá trị ΔT này đã được phòng thí nghiệm quốc tế chứng nhận hay không (không thấy công bố trên tài liệu sản phẩm hoặc website nhà sản xuất), đã trừ sai số chưa, hay có được dùng giá trị đó vào công thức của tiêu chuẩn hay không để quy ra Rp như vậy? Đó là các vấn đề người dùng cần làm rõ với nhà cung cấp sản phẩm.
Vậy người dùng cần xác thực thời gian phát xạ sớm ΔT nào để quy ra bán kính bảo vệ Rp đúng tiêu chuẩn.
Một số tài liệu thương mại hiện nay dùng ΔT đo thay vì ΔT chứng nhận để tính Rp. Đây là sai lệch nghiêm trọng vì:
Các hình thức sai lệch hoặc gây hiểu nhầm cho người dùng thường gặp:
Khi chuỗi sai lệch này cộng dồn, sản phẩm được công bố có Rp rất lớn, nhưng đó chỉ là Rp “tính được” theo công thức, không phải Rp “bảo vệ được” theo tiêu chuẩn, tạo ra vùng "bảo vệ ảo" cho công trình rất nguy hiểm.
Việc sử dụng ESEAT không đúng chuẩn, Rp ảo có lợi trước mắt, nhưng sẽ dẫn đến những rủi ro thật như sau:
Bán kính bảo vệ Rp là tham số quan trọng và nhạy cảm trong công nghệ ESE.
Sự thận trọng khi lựa chọn công nghệ ESE cho cột thu lôi là thực sự cần thiết, là trách nhiệm của chủ đầu tư, tư vấn thiết kế và nhà thầu nhằm đảm bảo hệ thống chống sét đúng tiêu chuẩn, hoạt động hiệu quả để bảo vệ an toàn cao nhất.